|
|
Proportion
Author(s)
David M. Lane
Prerequisites
Introduction
to the Normal Distribution, Normal
Approximation to the Binomial, Sampling
Distribution of the Mean,
Sampling Distribution
of a Proportion, Confidence
Intervals, Confidence Interval on the Mean
Learning Objectives
- Estimate the population proportion from sample proportions
- Apply the correction for continuity
- Compute a confidence interval
A candidate in a two-person election commissions
a poll to determine who is ahead. The pollster randomly chooses
500 registered voters and determines that 260 out of the 500 favor
the candidate. In other words, 0.52 of the sample favors the candidate.
Although this point estimate of the proportion is informative,
it is important to also compute a confidence
interval. The confidence interval is computed based on the
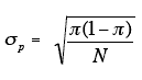
mean and standard deviation of the sampling distribution of a proportion. The formulas for these
two parameters are shown below:
μp = π
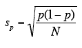
Since we do not know the population parameter π, we use
the sample proportion p as an estimate. The estimated standard error of p is therefore

We start by taking our statistic (p) and creating
an interval that ranges (Z.95)(sp)
in both directions, where Z.95 is
the number of standard deviations extending from the mean of a
normal distribution required
to contain 0.95 of the area (see the section on the confidence
interval for the mean). The value of Z.95 is computed with the normal calculator and is equal to 1.96. We
then make a slight adjustment to correct for the fact that the
distribution is discrete rather than continuous.
Normal
Distribution Calculator
sp is calculated as shown
below:

To correct for the fact that we are approximating
a discrete
distribution
with a continuous
distribution (the normal distribution), we subtract 0.5/N from
the lower limit and add 0.5/N to the upper limit of the interval.
Therefore the confidence interval is
Lower limit: 0.52 - (1.96)(0.0223) - 0.001 = 0.475
Upper limit: 0.52 + (1.96)(0.0223) + 0.001 = 0.565
0.475 ≤ π ≤ 0.565
Since the interval extends 0.045 in both directions,
the margin of error is 0.045.
In terms of percent, between 47.5% and 56.5% of the voters
favor the candidate and the margin of error is 4.5%. Keep in
mind that the margin of error of 4.5% is the margin of error
for the percent favoring the candidate and not the margin of
error for the difference between the percent favoring the candidate
and the percent favoring the opponent. The margin of error
for the difference is 9%, twice the margin of error for the individual
percent. Keep this in mind when you hear reports in the media;
the media often get this wrong.
Please answer the questions:
|
|