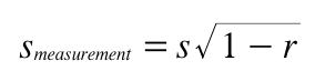
Standard Error of Measurement
In test theory, the standard error of measurement is the standard deviation of observed test scores for a given true score. It is usually estimated with the following formula in which s is the standard deviation of the test scores and r is the reliability of the test.
