Standard Error of the Mean


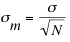
The standard error of the mean is the standard deviation of the sampling distribution of the mean. The formula for the standard error of the mean in a population is:

where σ is the standard deviation and N is the sample size. When computed in a sample, the estimate of the standard error of the mean is: